全国2008年10月高等教育自学考试高等数学(一)
编辑整理:四川自考网 发表时间:2018-05-24 07:04:49 字体:【大 中 小】
【学历咨询】
《自考视频课程》名师讲解,轻松易懂,助您轻松上岸!低至199元/科!
课程代码:00020
一、单项选择题(本大题共5小题,每小题2分,共10分)
在每小题列出的四个备选项中只有一个是符合题目要求的,请将其代码填写在题后的括号内.错选、多选或未选均无分.
1.设函数y=f(x)的定义域为(1,2),则f(ax)(a<0)的定义域是()
A.(
)
B.[
)
C.(a,2a)
D.(
]
2.设f(x)=x|x|,则f′(0)=()
A.1
B.-1
C.0
D.不存在
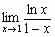
3.下列极限中不能应用洛必达法则的是()
A.
B.
C.
D.
4.设f(x)是连续函数,且
,则f(x)=()
A.cosx-xsinx
B.cosx+xsinx
C.sinx-xcosx
D.sinx+xcosx
5.设某商品的需求量D对价格p的需求函数为D=50-
,则需求价格弹性函数为()
A.
B.
C.

D.

二、填空题(本大题共10小题,每小题3分,共30分)
请在每小题的空格中填上正确答案.错填、不填均无分.
6.设f(x)=
,则f(f(x))=_______.
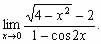
7.
=_______.
8.
_______.
9.设f′(0)=1,则
_______.
10.设函数y=x+klnx在[1,e]上满足罗尔定理的条件,则k=_______.
11.曲线y=ln
的竖直渐近线为_______.
12.曲线y=xlnx-x在x=e处的切线方程为_______.
13.
_______.
14.微分方程xy′-ylny=0的通解是_______.
15.设z=(x+y)exy,则
=_______.
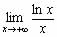
三、计算题(一)(本大题共5小题,每小题5分,共25分)
16.求极限
17.设y=
,求y′.
18.求不定积分
19.设z=x+y+
,求
.
20.设F(u,v)可微,且,
z(x,y)是由方程F(ax+bz,ay-bz)=0(b≠0)所确定的隐函数,求
四、计算题(二)(本大题共3小题,每小题7分,共21分)
21.设y=ln(1+x+
求y′.
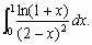
22.计算定积分
23.计算二重积分I=
[1]
本文标签:四川省自考 历年真题 全国2008年10月高等教育自学考试高等数学(一)
转载请注明:文章转载自(http://www.sczkw.net)
《四川自考报名网》免责声明:
1、由于各方面情况的调整与变化,本网提供的考试信息仅供参考,考试信息以省考试院及院校官方发布的信息为准。
2、本网信息来源为其他媒体的稿件转载,免费转载出于非商业性学习目的,版权归原作者所有,如有内容与版权问题等请与本站联系。联系邮箱:812379481@qq.com。





